Arpa FVG pubblica il report annuale meteo.fvg dedicato al 2022: un anno caldo e molto secco

Come è stato il 2022 in Friuli Venezia Giulia dal punto di vista meteo-climatico? Lo illustra il Report meteo.FVG – riepilogo 2022 realizzato da ARPA FVG, disponibile online, di cui riportiamo qui una breve sintesi.

Temperature medie

In Friuli Venezia Giulia la temperatura media annuale del 2022 è stata più alta di oltre 1 °C rispetto al trentennio climatico di riferimento 1991-2020; l’incremento è ancora più accentuato se consideriamo i dati registrati a Udine a partire dal 1901: con 2 °C oltre la media, il 2022 è stato l’anno più caldo mai registrato, segno del cambiamento climatico in atto anche nella nostra regione.

andamento secolare della temperatura media annuale...
Andamento secolare della temperatura media annuale a Udine. Dati: serieHistAlp1901-1991 Osmer-RAFVG1992-2022. Le linee verdi orizzontali indicano le temperature medie trentennali. Temperatura media anno 2022: 14.7 °C. Temperatura media secolo scorso (1901-1999): 12.7 °C

Rispetto alle temperature mensili del trentennio 1991-2020, in tutta la regione è possibile osservare che i mesi di marzo e aprile siano stati più freschi della norma climatica (seppure di poco), mentre durante l’estate e poi da ottobre a fine anno si sono registrate delle anomalie positive (da +1 a +3 °C). Anche nel confronto con la più lunga serie storica di dati disponibile per Udine si nota come in pianura solo nei mesi di gennaio, marzo, aprile e settembre le temperature mostrano valori vicino alla norma, mentre gli altri mesi, in particolare giugno e luglio sono risultati molto più caldi.

anomalia termica mensile nel 2022 a udine rispetto...
Anomalia termica mensile nel 2022 a Udine rispetto al periodo 1901-2021 (istogrammi rossi e blu). Nello sfondo dei grafici: l’area grigia rappresenta un’anomalia tra il 10° e il 90° percentile rispetto alla climatologia; l’area azzurro-scura rappresenta i valori al di sotto del 10 ° percentile e il suo limite inferiore corrisponde alla anomalia mensile più bassa registrato nella seria climatica; l’area arancione rappresenta i valori al di sopra del 90° percentile e il suo limite superiore corrisponde alla anomalia mensile più alta registrata nella seria climatica

La temperatura media mensile del mare è stata molto alta (+1 °C rispetto alla media storica); osservando l’andamento giornaliero si nota come nell’80 % delle giornate la temperatura media giornaliera è risultata superiore alla media climatica.

temperatura media giornaliera del mare a trieste m...
Temperatura media giornaliera del mare a Trieste misurata a 2 m di profondità nel 2022 (linea blu scuro) a confronto con la temperatura media climatica 1995-2021 (linea verde). L’area azzurro-scura rappresenta il 10° percentile e il suo limite inferiore corrisponde alla temperatura media giornaliera più bassa registrata nella serie storica. L’area arancione rappresenta il 90° percentile e il suo limite superiore corrisponde alla temperatura media giornaliera più alta registrata nella serie storica.

Precipitazioni

In media, considerando tutta la regione, le precipitazioni cumulate sono risultate quasi ovunque inferiori dal 30 al 50 % rispetto alla climatologia (1991-2020); solo in alcune zone, lungo la costa e nella media pianura friulana, il contributo di forti temporali autunnali hanno riportato le precipitazioni nella norma climatica. Significative, a titolo d’esempio, le piogge mensili di Udine: solamente a settembre è piovuto più della norma, mentre in tutti gli altri mesi si sono registrate precipitazioni di gran lunga al di sotto della norma secolare 1901-2021.

precipitazioni a udine mensili nel 2022 (istogramm...
Precipitazioni a Udine mensili nel 2022 (istogrammi blu) e confronto con la media 1901-2021 (istogrammi verdi). Nello sfondo del grafico: l’area grigia rappresenta delle precipitazioni comprese tra il 10° e il 90° percentile della serie climatica 1901-2021; quella arancione rappresenta precipitazioni tra il 10 ° percentile e il minimo; quella azzurro-scura rappresenta valori di precipitazioni tra il 90° percentile e il massimo.

Per quanto riguarda la frequenza delle piogge, anche questa risulta più bassa rispetto alla norma climatica, con un calo più pronunciato a Udine, a Trieste, nel Pordenonese e nelle Prealpi dove siamo arrivati intorno al -20 %. Considerando la distribuzione mensile delle piogge, ciò che si nota maggiormente in quest’anno sono le anomalie negative che caratterizzano quasi ogni mese: la siccità ha caratterizzato tutto il 2022. Le eccezioni in positivo visibili sono attribuibili prevalentemente a rovesci localizzati.

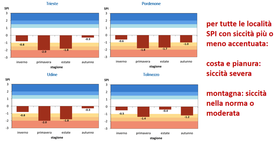
La siccità, che può essere quantificata anche grazie all’indice SPI stagionale, si osserva in maniera più o meno accentuata in tutte le località: i valori di SPI primaverile ed estivo per le località di costa e di pianura rappresentano una siccità severa; per le stazioni di montagna l’SPI primaverile ed estivo, anche se meno evidente, mostra comunque che la siccità sia nella norma o al più moderata.

i grafici rappresentano l’indice spi nelle quattro...
I grafici rappresentano l’indice SPI nelle quattro stagioni del 2022 per diverse località regionali: in blu sono rappresentati valori di SPI che identificano una stagione più o meno umida, in rosso una stagione più o meno siccitosa. Nello sfondo del grafico, le fasce colorate indicano le diverse classi dell’SPI.

Neve

Anche le precipitazioni nevose del periodo novembre 2021 – marzo 2022 sono state inferiori alla media climatica.


Nel Report meteo.FVG annuale si trovano anche le seguenti sezioni:

  • “12 MESI DA RICORDARE PER…” con 12 box che riportano, per ciascun mese, i tratti generali che ne hanno contraddistinto l’andamento meteoclimatico, un’immagine rappresentativa e la sintesi di un aspetto o evento particolarmente rilevante;
  • “CAMBIAMENTI CLIMATICI” che illustra gli andamenti di temperatura e precipitazioni sul lungo periodo, utilizzando la serie storica 1901-2021 disponibile per Udine, in modo da evidenziare come i cambiamenti climatici si stanno manifestando anche nella nostra regione e rapportando poi queste evidenze a quanto avviene su scala globale.

Per il riepilogo dettagliato, con spiegazioni e analisi accompagnate da una ricca serie di grafici e mappe:

Report Meteo.FVG – riepilogo 2022

Ultimo aggiornamento 27/2/2023

URL: https://www.arpa.fvg.it/temi/temi/meteo-e-clima/news/arpa-pubblica-il-report-annuale-meteofvg-dedicato-al-2022-un-anno-caldo-e-molto-secco/


Aiutaci a migliorare, valuta questa pagina

Seleziona il numero di stelle corrispondente alla tua valutazione sulla scala da 1 a 5
Testo libero per portare all'attenzione aspetti della pagina o del servizio su cui migliorare

Tutti i campi contrassegnati con * sono obbligatori