La percezione soggettiva del rumore

La percezione soggettiva del rumore da parte dell’individuo esposto è dipendente dal contenuto energetico del segnale acustico, nonché dalla sua distribuzione in frequenza e dalla sua durata.

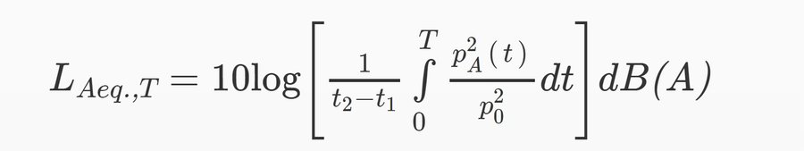
Il livello continuo equivalente di pressione sonora Leq indica il livello di un rumore costante con lo stesso contenuto energetico di un rumore variabile nel tempo (rappresenta, in definitiva, una sorta di media del livello sonoro in un certo periodo di tempo).
Per tener conto della diversa sensibilità dell'orecchio umano alle varie frequenze, i valori rilevati vengono corretti mediante l’applicazione della curva di pesatura “A”, ottenendo così il LAeq.
Il parametro LAeq,TR previsto dalla normativa di settore è relativo ad un periodo di misura che coincide con le 16 ore del TR (tempo di riferimento) diurno o con le 8 ore del TR notturno.

nota: la formula riportata deriva dal p.to 8 dell’...

Nota: la formula riportata deriva dal P.to 8 dell’allegato A al DM 16 marzo 1998 “Tecniche di rilevamento e di misurazione dell'inquinamento acustico”, dove LAeq è il livello continuo equivalente di pressione sonora ponderata "A" considerato in un intervallo di tempo che inizia all'istante T1 e termina all'istante T2; pA(T) è il valore istantaneo della pressione sonora ponderata "A" del segnale acustico in Pascal (Pa); p0 = 20 mPa è la pressione sonora di riferimento.

La scala dei decibel consente di rappresentare l’enorme variabilità delle grandezze fisiche in gioco (pressione e intensità sonora) entro un intervallo di valori limitato e di facile comprensione (si va dalla soglia di udibilità a 0 dB alla soglia del dolore a 130 dB), ma essendo una scala logaritmica occorre prestare attenzione ad alcune particolarità: si ottiene, ad esempio, che ad ogni raddoppio dell’energia sonora immessa (es. avvio di una seconda sorgente identica) corrisponde un incremento di 3 dB del livello sonoro misurato.

Ultimo aggiornamento 26/11/2025

URL: https://www.arpa.fvg.it/temi/temi/rumore/ultimi-pubblicati/la-percezione-soggettiva-del-rumore/


Aiutaci a migliorare, valuta questa pagina

Seleziona il numero di stelle corrispondente alla tua valutazione sulla scala da 1 a 5
Testo libero per portare all'attenzione aspetti della pagina o del servizio su cui migliorare

Tutti i campi contrassegnati con * sono obbligatori